A corrente contínua que, em determinado momento foi a principal forma de distribuição da energia eléctrica, continua a ser bastante usada em instalações eléctricas que alimentam sobretudo aplicações industriais.
As vantagens associadas ao emprego de motores CC e à alimentação através de uma única linha, fazem da corrente contínua uma excelente solução para comboios, metros, transvias, ascensores, outros meios de transporte, e o uso cada vez mais representativo de soluções CC para data centers.
Além disso, a corrente contínua é utilizada em instalações de conversão (instalações em que se convertem diferentes tipos de energia em energia eléctrica contínua, por exemplo, instalações fotovoltaicas e, sobretudo, em aplicações de emergência em que é necessária uma fonte de energia auxiliar para alimentação de serviços essenciais, tais como sistemas de protecção, iluminação de emergência, pavilhões e fábricas, sistemas de alarme, data centers, etc.. Os acumuladores, por exemplo, constituem a fonte de energia mais fiável para esse tipo de serviços, tanto directamente em corrente contínua como através de sistemas de alimentação ininterrupta (UPS), quando se aplicam cargas de corrente alternada.

Este artigo técnico tem como objectivo explicar os aspectos fundamentais das aplicações da corrente contínua e apresentar as soluções dos disjuntores e outras unidades funcionais da ABB.
Questões gerais sobre corrente contínua
É fundamental conhecer as características eléctricas da corrente contínua e as suas diferenças quando comparada com a corrente alternada, para entender como deve ser utilizada.
Por definição, a corrente eléctrica denominada «contínua» apresenta uma tendência unidireccional constante no tempo. De facto, ao analisar o movimento das cargas num ponto atravessado por uma corrente contínua, observa-se que a quantidade de carga (Q) que flui pelo dito ponto (isto é, por essa secção transversal) a cada instante é sempre a mesma.
As fontes que podem transmitir corrente contínua são baterias ou dínamos; para além disso, através de um processo de rectificação é possível converter uma corrente alternada numa corrente contínua.
Não obstante, uma corrente contínua «pura», que é uma corrente que não apresenta nenhuma flutuação periódica, gera-se exclusivamente por baterias (ou acumuladores). De facto, a corrente produzida por um dínamo pode apresentar pequenas variações, fazendo com que esta não seja constante no tempo; apesar disso, dum ponto de vista prático, considera-se corrente continua.
Valor eficaz de uma onda sinusoidal (rms)
O valor eficaz é o parâmetro que relaciona a corrente alternada com a corrente contínua.
O valor eficaz duma corrente alternada representa o valor duma corrente contínua que causa os mesmos efeitos térmicos no mesmo período de tempo; por exemplo, uma corrente contínua de 100A produz os mesmos efeitos térmicos que uma corrente alternada sinusoidal com um valor máximo de 141A.
Assim, o valor eficaz permite tratar a corrente alternada como uma corrente contínua em que o valor instantâneo varia no tempo.

T – período (s) Imax – valor de corrente para a máxima amplitude duma onda sinusoidal.


Aplicações
No âmbito da baixa tensão, a corrente contínua utiliza-se para diversas aplicações, as quais se dividiram em quatro famílias:
- Conversão noutras formas de energia eléctrica (instalações fotovoltaicas, sobretudo naquelas em que sejam utilizadas baterias de acumuladores);
- Tracção eléctrica (linhas de transvia, comboios, metros, etc.);
- Alimentação de serviços de emergência1 ou auxiliares;
- Instalações industriais particulares (processos electrolíticos, etc.).
Conversão de energias alternativas em energia eléctrica
Instalações fotovoltaicas
Uma instalação fotovoltaica permite converter a energia resultante da radiação solar em energia eléctrica de tipo directo; estas instalações são constituídas por painéis de material semicondutor, que podem gerar energia eléctrica quando expostos aos raios solares. As instalações fotovoltaicas podem estar conectadas à rede ou alimentar uma carga única (instalação isolada). Neste último caso deve existir uma bateria de acumuladores que proporcionem alimentação eléctrica em caso de inexistência de radiação solar.
O elemento central de uma instalação fotovoltaica é a célula fotovoltaica formada por um material semicondutor (silício amorfo ou silício monocristalino); esta célula, quando exposta aos raios solares, é capaz de fornecer uma corrente máxima Impp a uma tensão máxima Vmpp, correspondente a uma potência máxima chamada Wp. Várias células fotovoltaicas ligadas em série para formar uma cadeia2 aumentam o nível de tensão. Ao conectar várias cadeias em paralelo aumenta-se o nível da corrente.
Por exemplo, se uma única célula pode fornecer entre 5A a 35,5Vcc, para alcançar um nível entre 100A a 500Vcc é necessário conectar 20 strings em paralelo, cada uma das quais constituída por 15 células.
Em geral, uma instalação fotovoltaica isolada é constituída pelos seguintes dispositivos:
- Painel fotovoltaico: formado por células fotovoltaicas convenientemente interconectadas e usado para converter a energia solar em energia eléctrica.
- Regulador de carga: é um dispositivo electrónico capaz de regular a carga e a descarga dos acumuladores.
- Baterias de acumuladores: podem fornecer alimentação eléctrica em caso de inexistência de radiação solar.
Inversor CC/CA: tem a função de converter a corrente contínua em corrente alternada, controlando-a e estabilizando a sua frequência e forma de onda.

1 704.35 Serviços de segurança, Segundo a legislação em vigor, RTIEBT
2 na gíria da especialidade vulgarmente chamadas de “strings”

F202 PV B, F204 B
Classe B: São capazes de detectar fugas de corrente alternada, corrente alternada com componente contínua (continuas pusantes) e correntes contínuas alisadas. Solução adequada para VEV trifásicos, ascensores, equipamento médico, UPS e Inversores (aplicações fotovoltaicas). Equipamento para além das normas base EN 61008 e 61009, em concreto as mais actuais IEC/TR 60755, IEC 62103 e IEC 62423. Assumindo-se assim a ABB como das primeiras marcas a disponibilizar a presente tecnologia.
O diagrama geral de uma instalação fotovoltaica conectada em paralelo à rede, por oposição a uma instalação isolada, pode não precisar de uma bateria de acumuladores, uma vez que o utilizador alimenta-se da rede quando não existe radiação solar.
Uma instalação fotovoltaica deste tipo é constituída pelos seguintes equipamentos:
- Painel fotovoltaico: formado por células fotovoltaicas convenientemente interconectadas, é usado para converter a energia solar em energia eléctrica.
Inversor CC/CA: tem a função de converter a corrente contínua em corrente alternada, controlando-a e estabilizando a sua frequência e a forma de onda.
- Dispositivo de interface: é formado por um disjuntor equipado com um relé de subtensão ou com um interruptor-seccionador capaz de garantir a total separação entre as unidades geradoras de electricidade e a rede de distribuição pública.

Contadores de energia: permitem medir e contabilizar a energia fornecida e absorvida pela rede de distribuição.
3 253.6 Dispositivo sensível à corrente diferencial-residual (abreviadamente, dispositivo diferencial) DR, segundo legislação em vigor RTIEBT


S 200 M UC, S800 PV-M

ABB fornece uma ampla gama de dispositivos de protecção contra sobretensões
especificamente projectado para sistemas fotovoltaicos. Com uma componente térmica dedicada à desconexão de sistemas fotovoltaicos, garantindo assim uma protecção acrescida ao sistema.
As principais características do OVR PV são:
- Capacidade de resistência ao curto-circuito (Iscw pv) até 100 A, sem qualquer
protecção de back-up
- Cartuchos extraíveis para fácil manutenção
- Contacto auxiliar com a opção "TS"
- Configuração "Y" para uma melhor protecção e segurança
- Sem risco com a inversão da polaridade
Coordenação OVR (descarregador de sobretensão) com fusível
Quando o Icc (corrente de curto-circuito), num determinado ponto da instalação toma valores acima de 100A CC, o OVR PV exige protecção por coordenação, uso dum fusível a montante tipo gR.

Os contadores digitais de energia EQ oferecem uma infinidade de funções aplicáveis a todo o tipo de instalações, trazendo grandes benefícios para seus utilizadores. Quer as versões básicas quer as mais avançadas são ideais para aplicações no sector terciário e industrial, tais como centros comerciais, edifícios de escritórios, instalações industriais e com particular destaque para os novos mercados das “renováveis”. O sentido do fluxo da corrente (gerada ou consumida) permite um controlo e gestão das fontes e consumos.
Tracção eléctrica
A curva característica do binário-velocidade particular e a facilidade com que se pode regular a velocidade propriamente dita permitiram o uso de motores de CC no âmbito da Tracção eléctrica.
Do mesmo modo, a alimentação de corrente contínua tem a grande vantagem de ter uma linha de contacto que consiste num único condutor, uma vez que os caminhos procuram o condutor de retorno.
Nesta etapa, a corrente contínua utiliza-se sobretudo nos transportes urbanos, isto é, eléctricos, comboios e metros com uma tensão de alimentação de 600V ou 750V, até 1000V.
O uso da corrente contínua não se limita somente à tracção de veículos, representando também uma fonte de alimentação para circuitos auxiliares a bordo de veículos; nestes casos instalam-se baterias de acumuladores, que constituem uma fonte de alimentação auxiliar que se utiliza no caso de falha da fonte externa.
É muito importante que a alimentação eléctrica seja garantida, uma vez que os circuitos auxiliares podem alimentar serviços essenciais, tais como: sistemas de ar condicionado, circuitos de iluminação internos e externos, sistemas de travagem de emergência, sistemas de calefacção eléctrica, etc...

As aplicações de disjuntores em circuitos de CC para tracção eléctrica em geral podem resumir-se do seguinte modo:
- Protecção e funcionamento de linhas de contacto tanto em suspensão catenária como em caminhos;
- Protecção de compressores de ar a bordo de vagões de metro e de comboio;
- Protecção de Instalações de distribuição de serviços e sistemas de sinalização;
- Protecção de fontes de alimentação de CC (baterias de acumuladores);
- Protecção e funcionamento de motores de CC.

Alimentação de serviços de emergência ou auxiliares
Utiliza-se a corrente contínua (directa ou indirectamente através de baterias de acumuladores) para todas as instalações em que a continuidade do serviço constitui um requisito fundamental.
Essas Instalações, que não podem estar sujeitas a um corte do fornecimento eléctrico causado, por exemplo, por uma falha de energia, necessitam de uma fonte de alimentação disponível para uso. Essa fonte, embora esteja limitada no seu tempo de uso, deve ser capaz de cobrir os tempos necessários até ao accionamento de um gerador de emergência.
De seguida mostram-se alguns exemplos deste tipo de instalações:
- Aplicações industriais (sistemas de controlo de processos);
- Instalações de segurança e de emergência (iluminação4, alarmes);
- Aplicações em hospitais;
- Telecomunicações;
- Aplicações no âmbito do processamento de dados (data centers, call centers, servidores, etc.).

Nestas instalações não podem permitir-se que ocorram interrupções ao fornecimento energético, dai que seja necessário implementar na instalação sistemas capazes de armazenar energia durante o fornecimento regular e de a devolver imediatamente quando o fornecimento falhe.
As baterias de acumuladores constituem a fonte de energia eléctrica mais fiável para o fornecimento destes serviços, quer directamente na corrente contínua (se as cargas o permitirem) quer na corrente alternada, através do uso dum conversor capaz de desenvolver uma forma de onda sinusoidal a partir de uma forma de onda contínua de entrada.
Para o que foi descrito anteriormente usam-se sistemas de alimentação ininterrupta (UPS):
Aplicações industriais específicas
O uso de corrente contínua é muitas vezes necessário em múltiplas aplicações industriais, tais como:
- Fornos de arco;
- Instalações de electrosoldadura;
- Fábricas de grafite;
- Fábricas de produção e refinamento metálicos (alumínio, zinco, etc.).
4 801.2.1.5 Iluminação, secção 8 da legislação portuguesa, RTIEBT
Especificamente, muitos metais, como o alumínio, são produzidos a partir de um processo electrólito. A electrólise é um processo que converte a energia eléctrica em energia química. É o contrário do que acontece no processo da bateria. De facto, na bateria usa-se uma reacção química para produzir a energia eléctrica em CC, enquanto que a electrólise usa a energia eléctrica em CC para desencadear uma reacção química que não ocorreria espontaneamente.
O procedimento consiste em fazer submergir o metal a refinar, que actua como ânodo, numa solução condutora, enquanto uma placa fina do mesmo metal puro actua como cátodo; ao aplicar uma corrente contínua a partir dos rectificadores, pode observar-se que os átomos do metal no ânodo dissolvem-se na solução electrolítica e, simultaneamente, uma quantidade equivalente de metal se deposita sobre o cátodo. Nestas aplicações, as correntes de serviço são muito elevadas > 3.000 A.
Outra aplicação muito comum é a das instalações galvânicas, nas quais se desenvolvem processos de revestimento de superfícies metálicas com outros metais ou ligas (crómio, níquel, chapeamento de cobre, latão, zinco por galvanização, estanhagem, etc.). Normalmente, a peça metálica para revestir actua como cátodo: através do fluxo de corrente, os iões desprendem-se do ânodo e depositam-se sobre a superfície da peça.
Nestas Instalações, as operações realizam-se através de uma célula electrolítica com correntes de serviço elevadas (até 3.000A e superiores).
Geração
A produção da corrente contínua pode ocorrer:
- Através do uso de baterias ou acumuladores em que a corrente gera-se directamente a partir de processos químicos.
- Através da rectificação da corrente alternada através de rectificadores (conversão estática).
- Através da conversão de trabalho mecânico em energia eléctrica com o uso de dínamos (produção através de máquinas giratórias).
As indicações seguintes não pretendem ser uma ferramenta exaustiva, mas sim proporcionar, numa linguagem acessível, informação útil para ajudar a entender as principais tecnologias usadas na produção da corrente contínua. Actualmente usam-se múltiplas e complexas tecnologias e técnicas, mas uma vez que estas não são o enfoque principal deste documento técnico, oferecem-se apenas indicações básicas necessárias para a sua rápida compreensão.
Baterias de armazenamento
Uma bateria de armazenamento, também chamada de acumulador, é um gerador electroquímico capaz de converter directamente a energia química em energia eléctrica de tipo contínuo.
A estrutura duma bateria de armazenamento é semelhante à duma bateria normal. A principal diferença reside no facto de nas baterias de acumuladores o processo de carga/ descarga ser reversível: de facto, através do uso de um gerador de CC consegue-se restabelecer o estado inicial dos eléctrodos que sofreram alterações durante a descarga; processo este que não é possível com uma bateria normal.
As principais características eléctricas das baterias de armazenamento são:
- Tensão nominal: diferença de potencial existente entre as placas negativa e positiva submersas no electrólito; o valor de tensão indicado habitualmente em cada célula individual (2 V, 4 V, 6 V, 12 V); para obter a tensão pretendida é necessário utilizar várias células em série;
- Capacidade: quantidade de electricidade que uma bateria pode fornecer durante um determinado período de tempo; a capacidade expressa-se em amperes/ hora (Ah) e calcula-se multiplicando o valor da intensidade da corrente de descarga (amperes) pelo tempo de descarga 8horas);
- Resistência interna: o valor da resistência interna da bateria; este valor é estabelecido pelo fabricante;
- Potência: a potência que a bateria é capaz de fornecer; calcula-se a partir da tensão de descarga média multiplicada pela corrente e expressa-se em watts (W).
Além destes componentes, existem colectores e separadores de corrente. Os colectores direccionam a corrente gerada nos electrólitos (fase de descarga) e vice-versa, dos eléctrodos até aos elementos (fase de carga); e os separadores normalmente formados por placas isoladoras, evitam o contacto do ânodo e do cátodo de forma a prevenir o aparecimento de curto-circuitos.
Para conseguir um nível de tensão que responda às necessidades da instalação, é necessário conectar (através de conectores apropriados, ver a figura) várias células em série ou em paralelo, de forma a aumentar o nível de tensão ou da corrente.


A MEMBER OF A ABB GROUP
Conversão estática
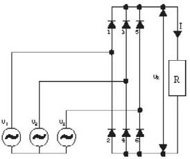
Pode fornecer-se corrente contínua usando dispositivos electrónicos (rectificadores) para converter a entrada da corrente alternada em saída de corrente contínua. Estes dispositivos também se chamam conversores estáticos, e distinguem-se dos rotativos (actualmente obsoletos), que usam várias máquinas eléctricas convenientemente interligadas. O princípio funcional dos rectificadores explora as propriedades dos componentes electrónicos com semicondutores (díodos, transístores, etc.), isto é, a sua capacidade de conduzir correntes apenas quando estão polarizados positivamente. O principio funcional pode descrever-se tomando como referência o rectificador em modo trifásico (rectificador de Graetz) que se mostra na figura.

Com o presente diagrama é possível identificar os três díodos polarizados positivamente (1,3,5) com os cátodos conectados num nó comum, e os três díodos em oposição (2, 4,6) que, por sua vez, têm os ânodos igualmente num mesmo nó.
Uma vez definido que um díodo apenas é polarizado positivamente, isto é, que quando a tensão nos seus extremos é superior a zero, ao fornecer ao circuito do modo um conjunto de tensões trifásicas temos como consequência o seguinte:
- Durante a primeira sexta parte do período, a tensão linha a linha U12 é a tensão predominante; como consequência, a corrente será conduzida pelos díodos 1 e 4.
- Durante a segunda sexta parte do período, a tensão linha a linha U13 é a tensão predominante; como tal, a corrente será conduzida pelos díodos 1 e 6.

As linhas contínuas representam as três curvas sinusoidais das tensões de linha (U12 ; U23 ; U31), as linhas a tracejado representam as curvas sinusoidais das mesmas tensões mas, invertidas (U13 = -U31 ; U21 = - U12 ; U2 = - U23)
Ocorre o mesmo nas fracções de período sucessivas. A tensão UR nos terminais de carga R é a tensão representada pela envolvente das tensões linha a linha.
A tensão de saída resultante (representada pela linha negra contínua) adopta a forma de onda de uma tensão de ondulação com um valor médio não nulo. Assim, a corrente contínua que flui através da resistência R deve ser igual a:

De facto, o circuito electrónico de um rectificador é mais complexo que o circuito visto anteriormente; por exemplo, frequentemente temos um condensador que «nivela» a tensão de saída para atenuar a ondulação. Também podem usar-se transístores em vez de díodos. Graças à possibilidade de controlar o seu tempo de condução (tensão na gate do SCR) relativamente ao seu instante de comutação, os transístores permitem que o valor da tensão de saída no modo varie; neste caso, o dispositivo chama-se rectificador de modo controlado.
Dínamo
Um dínamo é um gerador de corrente contínua que se utiliza para converter a energia mecânica em energia eléctrica contínua.
Como se mostra na figura, estes dispositivos consistem basicamente numa parte fixa (denominada sistema indutor), que tem a função de gerar um campo magnético; e numa parte móvel (chamada rotor), formada por um sistema de condutores, que deve «atravessar» o campo magnético gerado pelo indutor.
Partindo do pressuposto que um condutor rectilíneo (posicionado ao longo de um cilindro que gira a velocidade constante) que corta as linhas de força do campo magnético é a origem de uma força electromotriz (fem) variável no tempo, é fácil compreender que, com vários condutores interligados correctamente (de modo a que sejam compensados os valores positivos e negativos das forças electromotrizes induzidas nos condutores), é possível obter uma fem em que resulta do valor constante e tem sempre a mesma direcção.

Escolha do dispositivo de protecção
Para um dimensionamento coreto do disjuntor numa rede em Corrente Contínua devem avaliar-se alguns parâmetros eléctricos que caracterizam o dispositivo propriamente dito. Entretanto é feita uma breve descrição destes parâmetros, os quais são mencionados de seguida.
- Tensão nominal de utilização Ue
Representa o valor de tensão que determina a utilização do equipamento e ao qual se referem todos os outros parâmetros típicos do mesmo.
- Intensidade nominal permanente Iu
Representa o valor da corrente que o equipamento pode suportar durante um tempo indefinido (serviço ininterrupto). Este parâmetro é utilizado para definir o tamanho do disjuntor.
- Intensidade nominal In
Representa o valor de corrente que caracteriza o relé de protecção montado no disjuntor e determina a característica de protecção do próprio disjuntor, conforme os ajustes do relé de protecção. Esta corrente refere-se, frequentemente, à intensidade nominal da carga protegida pelo próprio disjuntor.
- Interrupção máxima lcu
O poder de corte final de um disjuntor é o máximo valor de corrente de curto-circuito que o disjuntor pode cortar duas vezes (seguindo a sequência O – t – CO) à tensão de funcionamento nominal correspondente. Depois da sequência de abertura e fecho não é necessário que o disjuntor suporte a sua intensidade nominal.
- Poder nominal de corte de serviço em curto-circuito Ics
O poder nominal de corte de serviço num curto-circuito de um disjuntor é o valor de corrente de curto-circuito máximo que o disjuntor pode cortar três vezes (seguindo a sequência O – t – CO – t – CO) a uma tensão de funcionamento nominal definida (Ue) e uma constante de tempo definida (para Corrente Contínua). Depois desta sequência, o disjuntor deve poder conduzir a sua Corrente Nominal.
- Corrente Nominal de curta duração Icw
A Corrente Nominal admissível de curta duração é a máxima corrente que o disjuntor pode conduzir durante um breve tempo, determinado em condições especiais. O disjuntor deve ser capaz de conduzir esta corrente durante o tempo de temporização de curta duração, para assegurar a selectividade entre os disjuntores em série.
- Dimensões dos disjuntores
Nas páginas anteriores definiram-se as principais características eléctricas do disjuntor, as quais são necessárias para uma correcta selecção do disjuntor de modo a garantir a protecção da instalação.
Para efectuar o dimensionamento é necessário conhecer as seguintes características da rede:
- o tipo de rede para definir a ligação dos pólos do disjuntor de acordo com as possíveis condições de defeito;
- a tensão nominal da instalação (Un) para definir a tensão de utilização (Ue) em função da ligação dos pólos mediante a verificação Un ≤ Eu;
- a corrente do curto-circuito no ponto de instalação do disjuntor (ik) para definir a versão do disjuntor (em função da ligação dos pólos), mediante a verificação da relação correspondente (Ue);
- a Corrente Nominal consumida pela carga (Ib) para definir a intensidade nominal (In) da unidade de disparo termomagnética (S 200 M UC ABB System pro M compact ®) ou relé electrónico para aplicações CC (PR122-PR123/DC para Emax ou TMD nos caixa moldada Tmax), mediante a verificação Ib ≤ In.

- Procedimentos para garantir um correcto dimensionamento de um disjuntor:
O diagrama seguinte resume, de forma esquemática, a selecção que deve ser realizada para dimensionar correctamente o disjuntor relativamente às características da instalação.

Utilização dum equipamento de Corrente Alternada em Corrente Contínua
Variação do disparo magnético
As unidades de disparo termomagnéticas montadas em disjuntores de Corrente Alternada também se adaptam, para a sua utilização em Corrente Contínua.
A parte relativa para a protecção térmica não se altera com referência à sua característica de disparo, uma vez que as tiras bimetálicas das unidades de disparo são influenciadas pelo aquecimento que provoca o fluxo de corrente, independentemente desta ser alternada ou contínua: de facto, as lâminas bimetálicas são sensíveis ao valor efectivo.
No que diz respeito à protecção instantânea contra curto-circuito devido a fenómenos ferromagnéticos, o disparo instantâneo produz um valor diferente quando comparado com um caso análogo em Corrente Alternada (a área verde na Figura mostra a variação do disparo magnético). Um coeficiente denominado km, variável em função do disjuntor e do tipo de ligação dos seus pólos, permite derivar a barreira do disparo instantâneo em Corrente Contínua a partir do valor relevante em Corrente Alternada; como consequência, este coeficiente deve ser aplicado à barreira I3.
